Il think tank Bruegel analizza l’ipotesi di un controllo continuo dello Stretto di Hormuz da parte di Teheran e, potenzialmente, un pedaggio da pagare in cambio del transito delle petroliere
Con il cessate il fuoco concordato ieri, il conflitto tra Stati Uniti, Israele e Iran ha raggiunto, almeno per ora, una sorta di stallo. Il conflitto ha avuto un impatto enorme sulle forniture energetiche globali, comportando costi militari ingenti e mettendo a nudo la scomoda verità sul potere della guerra asimmetrica. La capacità dell’Iran di bloccare lo Stretto di Hormuz, punto nevralgico per le forniture energetiche, è diventata una questione cruciale.
Una delle principali sfide, ora, è trovare un modo per mantenere lo Stretto aperto e garantire il flusso di energia. Un’analisi dei ricercatori del think tank Bruegel esplora un’opzione in tal senso, che sembra essere parte del piano di cessate il fuoco in 10 punti presentato dall’Iran: il controllo continuo dello Stretto da parte di Teheran e, potenzialmente, un pedaggio da pagare in cambio del transito delle petroliere.
CHI PAGHEREBBE IL PEDAGGIO DELLO STRETTO DI HORMUZ?
Un pedaggio di transito sullo Stretto di Hormuz sarebbe una tassa su un punto di strozzatura. L’Iran controlla il collo di bottiglia, dal quale trae profitto. L’aspetto più importante dell’analisi economica relativa al pedaggio di Hormuz è che l’economia mondiale è sostanzialmente indifferente a questa tassa, a condizione che l’offerta di petrolio venga ripristinata.
L’onere non ricade sui consumatori globali, ma in modo preponderante sui Paesi del Golfo che forniscono il petrolio che transita attraverso lo stretto. Tuttavia, anche questi ultimi starebbero meglio rispetto all’attuale situazione di conflitto, in cui le loro esportazioni di greggio sono state interrotte.
L’INCIDENZA FISCALE
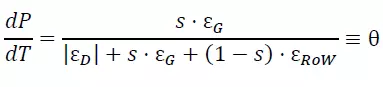
Il motivo ce lo spiega l’economia dell’incidenza fiscale. Considerando un mercato petrolifero mondiale con un unico prezzo globale, il pedaggio di Hormuz agirebbe come una tassa per barile sulle esportazioni di petrolio del Golfo – una tassa parziale sull’offerta, poiché gli Stati del Golfo rappresentano circa il 20% (s = 0,2) dell’offerta mondiale.
L’Iran imporrebbe un pedaggio T per barile a tutte le petroliere che transitano attraverso lo stretto, e il pedaggio creerebbe un cuneo di prezzo. Gli esportatori del Golfo ricevono (P – T) per barile; il prezzo di mercato mondiale P viene spinto al rialzo a causa della contrazione dell’offerta. I produttori del resto del mondo (RoW) sono soggetti solo al prezzo mondiale, e la loro offerta aumenta all’aumentare di P.
Indicando con D la domanda mondiale, con Sg l’offerta del Golfo e con SRoW l’offerta del resto del mondo, il prezzo mondiale di equilibrio del mercato è determinato dalla condizione di equilibrio del mercato:
D(P) = Sg (P − T) + SRoW (P)
Differenziando rispetto al pedaggio T (tenendo presente che P dipende da T) e utilizzando εG per indicare l’elasticità dell’offerta del Golfo, εRoW l’elasticità dell’offerta del resto del mondo e εD l’elasticità della domanda globale, si ottiene, dopo alcune riorganizzazioni, la seguente formula:

θ è il tasso di trasferimento, ovvero la frazione del pedaggio che si riflette in un aumento del prezzo mondiale del petrolio. Riflette quanto i consumatori globali di petrolio devono pagare in più per il petrolio a fronte di un aumento di 1 dollaro del pedaggio. Meccanicamente, gli esportatori del Golfo devono sopportare (1 − θ) del pedaggio per barile sull’intero volume delle loro esportazioni (poiché non possono vendere il loro petrolio a un prezzo superiore al prezzo mondiale).
La formula riflette la semplice intuizione che l’incidenza fiscale è determinata dalle elasticità relative dell’offerta e della domanda. In questo caso, l’elasticità dell’offerta è relativamente bassa, poiché la tassa viene applicata solo su s = 0,2 dell’offerta. Poiché gli esportatori del Golfo rappresentano solo un quinto dell’offerta mondiale, la loro capacità di far aumentare il prezzo mondiale minacciando di sospendere le forniture è limitata. La riduzione percentuale dell’offerta del Golfo, così come percepita dal mercato mondiale, è pari a 0,2 * εG.
L’ELASTICITÀ DEL MERCATO PETROLIFERO
Considerando che l’incidenza è ripartita tra i consumatori di petrolio (che pagano un prezzo mondiale del petrolio più elevato) e gli esportatori del Golfo (che pagano la tassa ma beneficiano di un prezzo mondiale del petrolio più elevato), le stime delle elasticità del mercato petrolifero indicano un’elasticità della domanda globale a breve termine pari a -0,08 e un’elasticità dell’offerta pari a 0,084. È probabile che le elasticità della domanda a lungo termine siano sostanzialmente maggiori, poiché i consumatori di tutto il mondo possono passare a fonti di energia rinnovabile.
In ogni scenario, l’incidenza della tassa ricade in gran parte sugli esportatori di petrolio del Golfo. Nello scenario di base, si assume che l’elasticità della domanda sia relativamente bassa (-0,1), mentre l’elasticità dell’offerta è pari a 0,1. Ciò implica che il 90% dell’imposta è pagato dagli esportatori del Golfo e solo il 10% dai consumatori mondiali.
Se l’offerta nel resto del mondo è rigida (il che implica che il mondo mantenga un regime di sanzioni petrolifere rigoroso sulle forniture alternative, ad esempio dalla Russia), il trasferimento ai consumatori aumenta, ma rimane al di sotto del 20%.
Gli Stati del Golfo assorbono quattro dollari su cinque. Una maggiore elasticità della domanda, ad esempio a causa del passaggio dei consumatori ad alternative energetiche verdi, spinge ulteriormente l’onere sugli esportatori del Golfo, poiché i consumatori si allontanano dal petrolio con maggiore facilità.
GLI EFFETTI SUI PREZZI DEL PETROLIO
L’Iran vorrebbe un pedaggio di circa 2 milioni di dollari per nave. Considerando che le “Very Large Crude Carrier” (VLC) – la classe di petroliere dominante per le esportazioni del Golfo – trasportano circa 2 milioni di barili, ciò si traduce in circa 1 dollaro al barile.
Con un aumento di 1-2 dollari al barile, il prezzo mondiale del petrolio aumenterebbe di soli 0,05-0,40 dollari al barile rispetto al livello prebellico – una piccola frazione dell’aumento di circa 35-40 dollari al barile registrato dall’inizio della guerra.
Gli esportatori del Golfo si farebbero carico di una quota compresa tra l’80% e il 95% del pedaggio, pari a circa 20,4 milioni di barili al giorno di esportazioni, ovvero un costo annuo stimato tra i 6 e i 14 miliardi di dollari.
Per l’economia mondiale, l’effetto benefico dominante sarebbe un nuovo aumento del 20% dell’offerta globale di petrolio e un probabile ritorno dei prezzi ai livelli pre-pandemia. L’economia mondiale non risentirebbe quasi per nulla del pedaggio. Sebbene sarebbero in gran parte loro a doverne sostenere i costi, gli Stati del Golfo ne trarrebbero comunque un enorme vantaggio, rispetto alla situazione di conflitto, potendo riprendere le esportazioni di petrolio.
Poiché i costi di estrazione del petrolio nel Golfo sono estremamente bassi, per alcuni giacimenti anche di soli 10 dollari al barile, l’Iran potrebbe ricavare un profitto ben maggiore, considerevolmente superiore a 2 milioni di dollari per nave. In termini puramente razionali, qualsiasi pedaggio inferiore a 0,8 × (P – costo di estrazione) sarebbe comunque un’opzione migliore per il Golfo rispetto all’assenza totale di esportazioni di petrolio.
LE OBIEZIONI AL PEDAGGIO DI HORMUZ
Una prima obiezione riguarda il fatto che i proventi del pedaggio andrebbero a diretto beneficio del Corpo delle Guardie Rivoluzionarie Islamiche iraniane (IRGC). I Paesi occidentali hanno infatti identificato le IRGC come responsabile della repressione dell’opposizione interna e del sostegno al terrorismo in altre aree. Le IRGC sono sanzionate da diversi Paesi occidentali, quindi gli armatori che pagano pedaggi potrebbero essere soggetti a multe e complicazioni con varie polizze assicurative.
Tuttavia, il costo geopolitico più ampio della situazione di conflitto potrebbe essere ancora maggiore: l’aumento dei prezzi del petrolio potrebbe generare per la Russia entrate aggiuntive comprese tra 45 e 151 miliardi di dollari, a seconda della durata dell’interruzione delle forniture petrolifere e dell’aumento dei prezzi del petrolio. Al contrario, con esportazioni russe di circa 4,5 milioni di barili al giorno, un aumento di 0,05-0,40 dollari al barile rispetto al livello prebellico significherebbe per la Russia entrate aggiuntive comprese tra 82 e 657 milioni di dollari all’anno.
SI CREEREBBE UN PRECEDENTE
Una seconda obiezione è che il pagamento di un pedaggio legittima la coercizione iraniana e crea un precedente nel diritto internazionale che altri regimi potrebbero voler seguire. Sia chiaro, l’imposizione di un pedaggio da parte dell’Iran violerebbe il diritto internazionale. Lo Stretto di Hormuz collega due mari: il Golfo Persico e il Golfo di Oman.
In base alla Convenzione dell’ONU sul diritto del mare, tutte le navi godono del diritto di “passaggio di transito”, che deve essere continuo, rapido e senza ostacoli. Lo Stretto di Hormuz non è inoltre, legalmente, paragonabile al Canale di Suez: mentre un trattato internazionale impone “il libero utilizzo del Canale, in tempo di guerra come in tempo di pace” e vieta il blocco, l’Autorità del Canale di Suez è autorizzata, in virtù della sua proprietà legale del canale, a riscuotere pedaggi per l’utilizzo dell’infrastruttura.
L’IRAN STA SUBENDO FORTI MINACCE
Esistono almeno due controargomentazioni alla seconda obiezione e ai timori che un pedaggio sullo Stretto di Hormuz possa indurre altri Paesi a tentare iniziative simili. In primo luogo, l’Iran è attualmente sottoposto a una forte minaccia (inclusa la possibilità che la sua “intera civiltà” venga annientata) e a pressioni militari, una situazione che altri Paesi non vorrebbero trovarsi ad affrontare.
In secondo luogo, e ancor più importante, Teheran ha già dimostrato al mondo la potenza della guerra asimmetrica nei punti strategici, invitando altri, inclusi attori non statali, a imitarlo, e ha dimostrato che, per chi impone dei blocchi, la guerra asimmetrica ha un costo irrisorio, mentre il mancato pagamento è oneroso per il mondo, e quindi non credibile.
Poiché un accordo sui pedaggi con le Guardie Rivoluzionarie iraniane è indesiderabile, gli Stati del Golfo e l’Europa hanno un forte interesse a interromperlo solo se tutte le altre opzioni si rivelassero di gran lunga peggiori. Sarebbe necessario investire negli oleodotti per garantire che il potere negoziale dell’Iran diminuisca.
Servirebbe una rapida espansione della capacità del Golfo e dell’Europa di contrastare la guerra asimmetrica per contrastare il potere di Teheran, che l’attacco mal pianificato da Stati Uniti e Israele ha rivelato. I responsabili politici hanno compreso di non potersi permettere l’illusione di poter ripristinare lo status quo ante, e devono invece valutare le opzioni in uno scenario di secondo e terzo livello.


